* 臺北市信義國民小學 學生家長會 VS 志工服務隊 *
回到首頁
老師介紹
業務執掌
檔案下載
好站連結

首頁 --> 新聞公告 --> 公告內容

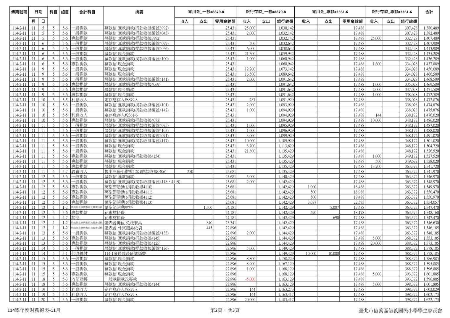
114學年度-家長會11月財務報表.....2025/12/8 上午 11:39:13  

附加檔案 1:114學年度財務報表-11月.pdf
附加檔案 2:114學年度財務報表-11月_1.jpg
附加檔案 3:114學年度財務報表-11月_2.jpg
附加檔案 4:114學年度財務報表-11月_3.jpg

 

臺北市信義國民小學-快樂學堂班級網站系統 - © 2015 新叡文教事業有限公司 All rights reserved.